
Saravanan
Research Group

Publications
Research Contributions
A curated collection of our scientific publications showcasing advances in chemistry, catalysis, biocatalysis, and innovative research discoveries.
Synthesis of Diverse Imidazole and Quinoxaline Derivatives via Iodine-Mediated Cyclization Reactions
Suganbabu Panneerselvam, Elavarasan Selvaraj, Subramaniyan Mannathan, Thangavelu Saravanan, Baburaj Baskar*
J. Org. Chem., 2025, ASAPView DOI

“Excited” Class I Aldolases: EDA Complex Mediated Photo-biocatalytic Enantioselective β-Alkylation of Enals
Sangoji Dheeraj, Shahana Pulikkathodi, Surabhi Odam Valappil, Kuntal Samanta, Thangavelu Saravanan*
ACS Catal., 2025, 15 , 2531 – 2539View DOI

Enantiodivergent Synthesis of Both (R)- and (S)-Heteroaryl Aldols by Rationally Engineered Aldolases
Karishma Naik, Kodru Jeevani, Krishnendu Bar, Thangavelu Saravanan*
J. Org. Chem., 2025, ASAPView DOI

Exploring the Substrate Scope and Catalytic Promiscuity of Nitroreductase-Like Enzymes
Alejandro Prats Luján, Mohammad Faizan Bhat, Thangavelu Saravanan* Gerrit J. Poelarends*
Adv. Synth. Catal., 2024, 366 , 4679 – 4687View DOI

Evaluating Multienzyme Cascade Routes for Pharmaceutically Relevant Molecules
Karishma Naik, Sangoji Dheeraj, Kodru Jeevani, Thangavelu Saravanan*
Eur. J. Org.Chem., 2024, e202301236View DOI

Microbial alcohol dehydrogenases: recent developments and applications in asymmetric synthesis
Anju Chadha* Santosh Kumar Padhi* Selvaraj Stella* Sowmyalakshmi Venkataraman* Thangavelu Saravanan*
Org. Biomol. Chem., 2024,22, 228 − 251View DOI

Visible Light Driven Metal-Free Photoredox Catalyzed α-benzylation and α-oxygenation of N-substituted Tetrahydroisoquinolines: Applications to Synthesis of Natural Products
Selvaraj Elavarasan, Jeyaraj Preety, Ramanjulu Abinaya, Dr. Thangavelu Saravanan , Prof. Kalpattu Kuppusamy Balasubramanian, Dr. Nutalapati Venkatramaiah, Dr. Baburaj Baskar*
Chem. Asian J., 2022, e202200878View DOI

Chemo- and Enantioselective Photoenzymatic Ketone Reductions Using a Promiscuous Flavin-dependent Nitroreductase
Alejandro Prats Luján, Mohammad Faizan Bhat, Thangavelu Saravanan* Gerrit J. Poelarends*
ChemCatChem, 2022, e202200043View DOI

Biocatalytic Asymmetric Cyclopropanations via Enzyme-Bound Iminium Ion Intermediates
Andreas Kunzendorf, Guangcai Xu, Dr. Mohammad Saifuddin, Dr. Thangavelu Saravanan , Prof.Dr. Gerrit J. Poelarends*
Angew. Chem. Int. Ed., 2021, 60, 24059 − 24063View DOI

Biocatalytic enantioselective hydroaminations enabling synthesis of N-arylalkyl-substituted L-aspartic acids
Mohammad Z. Abidin, Thangavelu Saravanan* Laura Bothof, Pieter G. Tepper, Andy-Mark W. H. Thunnissen and Gerrit J. Poelarends*.
Org. Biomol. Chem., 2021, 19, 6407 – 6411View DOI

The broad amine scope of pantothenate synthetase enables the synthesis of pharmaceutically relevant amides
Mohammad Z. Abidin, Thangavelu Saravanan* Erick Strauss, and Gerrit J. Poelarends*
Org. Biomol. Chem., 2021, 19, 4515 – 4519View DOI

Recent Applications of Carbon‐Nitrogen Lyases in Asymmetric Synthesis of Noncanonical Amino Acids and Heterocyclic Compounds
Jielin Zhang, Mohammad Z. Abidin, Thangavelu Saravanan , and Gerrit J. Poelarends*
ChemBioChem, 2020, 21, 2733 − 2742View DOI

Enantiocomplementary Epoxidation Reactions Catalyzed by an Engineered Cofactor-Independent Non-natural Peroxygenase
Guangcai Xu, Michele Crotti, Thangavelu Saravanan , Kim M. Kataja, and Gerrit J. Poelarends*
Angew. Chem. Int. Ed., 2020, 59, 10374 – 10378.View DOI

Enantioselective Aldol Addition of Acetaldehyde to Aromatic Aldehydes Catalyzed by Proline-Based Carboligases
Mohammad Saifuddin, Chao Guo, Lieuwe Biewenga, Thangavelu Saravanan , Simon J. Charnock, and Gerrit J. Poelarends*
ACS Catal., 2020, 10, 2522 − 2527.View DOI

Engineered C–N Lyase: Enantioselective Synthesis of Chiral Synthons for Artificial Dipeptide Sweeteners
Jielin Zhang, Eleonora Grandi, Haigen Fu, Thangavelu Saravanan , Laura Bothof, Pieter G. Tepper, Andy‐Mark W. H. Thunnissen, Gerrit J. Poelarends*
Angew. Chem. Int. Ed., 2019, 59, 429 – 435.View DOI

Biocatalytic Asymmetric Michael Additions of Nitromethane to α,β-Unsaturated Aldehydes via Enzyme-bound Iminium Ion Intermediates
Chao Guo, Mohammad Saifuddin, Thangavelu Saravanan , Masih Sharifi, and Gerrit J. Poelarends*
ACS Catal., 2019, 9, 4369 − 4373.View DOI

Enantioselective Synthesis of Pharmaceutically Active γ-Aminobutyric Acids Using a Tailor-Made Artificial Michaelase in One-Pot Cascade Reactions
Lieuwe Biewenga †, Thangavelu Saravanan † , Andreas Kunzendorf, Jan-Ytzen van der Meer, Tjaard Pijning, Pieter G. Tepper, Ronald van Merkerk, Simon J. Charnock, Andy-Mark W. H. Thunnissen, and Gerrit J. Poelarends*
ACS Catal., 2019, 9, 1503 − 1513. [ † These authors contributed equally ]View DOI

Modular Enzymatic Cascade Synthesis of Vitamin B5 and Its Derivatives
Mohammad Z. Abidin, Thangavelu Saravanan , Jielin Zhang, Pieter G. Tepper, Erick Strauss, and Gerrit J. Poelarends*
Chem. Eur. J., 2018, 24, 17434 – 17438.View DOI

Donor Promiscuity of a Thermostable Transketolase by Directed Evolution: Efficient Complementation of 1-Deoxy-D-xylulose-5-phosphate Synthase Activity
Thangavelu Saravanan , Sebastian Junker, Michael Kickstein, Sascha Hein, Marie-Kristin Link, Jan Ranglack, Samantha Witt, Marion Lorilliere, Laurence Hecquet and Wolf-Dieter Fessner*
Angew. Chem. Int. Ed., 2017, 56, 5358 – 5362.View DOI

Engineering a Thermostable Transketolase for Arylated Substrates
Thangavelu Saravanan , Marie-Luise Reif, Dong Yi, Marion Lorillire, Franck Charmantray, Laurence Hecquet and Wolf-Dieter Fessner*
Green Chem., 2017, 19, 481 – 489.View DOI

Second-Generation Engineering of a Thermostable Transketolase (TKGst) for Aliphatic Aldehyde Acceptors with either Improved or Reversed Stereoselectivity
Chaoqiang Zhou, Thangavelu Saravanan , Marion Lorillire, Dongzhi Wei, Franck Charmantray, Laurence Hecquet, Wolf-Dieter Fessner, and Dong Yi*
ChemBioChem, 2017, 18, 455 – 459.View DOI

One-Pot, Two-Step Cascade Synthesis of Naturally Rare L-erythro (3S,4S) ketoses by Coupling a Thermostable Transaminase and Transketolase
Marion Lorillière, Maxime De Sousa, Felipe Bruna Egon Heuson, Thierry Gefflaut, Véronique de Berardinis, Thangavelu Saravanan , Dong Yi, Wolf-Dieter Fessner, Franck Charmantray* and Laurence Hecquet*
Green Chem., 2017, 19,425 – 435.View DOI

Engineering a Thermostable Transketolase for Unnatural Conversion of (2S)-Hydroxyaldehydes
Abdoul Zabar, Marion Lorillire, Dong Yi, Thangavelu Saravanan , Titu Devamani, Lionel Nauton, Franck Charmantray, Virgil Halaine, Wolf-Dieter Fessner* and Laurence Hecquet*
Adv. Syn. Cat., 2015, 357, 1715 – 1720.View DOI

A Thermostable Transketolase Evolved for Aliphatic Aldehyde Acceptors
Dong Yi, Thangavelu Saravanan, Titu Devamani, Franck Charmantray, Laurence Hecquet, and Wolf-Dieter Fessner*
Chem. Commun., 2015, 51, 480 – 483.View DOI

Chemoenzymatic Synthesis of an Enantiomerically Enriched Bicyclic Carbocycle Using Candida parapsilosis ATCC 7330 Mediated Enantioselective Hydrolysis
Thangavelu Saravanan , Anju Chadha* Tarur Konikkaledom Dinesh, Namasivayam Palani* and Sengottuvelan Balasubramanian*
Int. J. Org. Chem., 2015, 5, 271 – 281.View DOI

Utilization of Whole cell Mediated Deracemization in a Chemoenzymatic Synthesis of Enantiomerically Enriched Polycyclic Chromeno[4,3-b] pyrrolidines
Thangavelu Saravanan , and Anju Chadha*
Org. Biomol. Chem., 2014, 12, 4682 – 4690.View DOI
![Utilization of Whole cell Mediated Deracemization in a Chemoenzymatic Synthesis of Enantiomerically Enriched Polycyclic Chromeno[4,3-b] pyrrolidines](/_next/image?url=%2Fimages%2Fpublications%2Fpub-15.png&w=3840&q=75)
Palladium-Catalyzed Allylic Alkylation of Allyl Dienol Carbonates: Reactivity, Regioselectivity, Enantioselectivity and Synthetic Applications
Stellios Arseniyadis* Jérémy Fournier, Thangavelu Saravanan , Oscar Lozano, Sébastien Prevost, Alexis Archambeau, Candice Menozzi, and Janine Cossy*
Synlett, 2013, 24, 2350 – 2364.View DOI

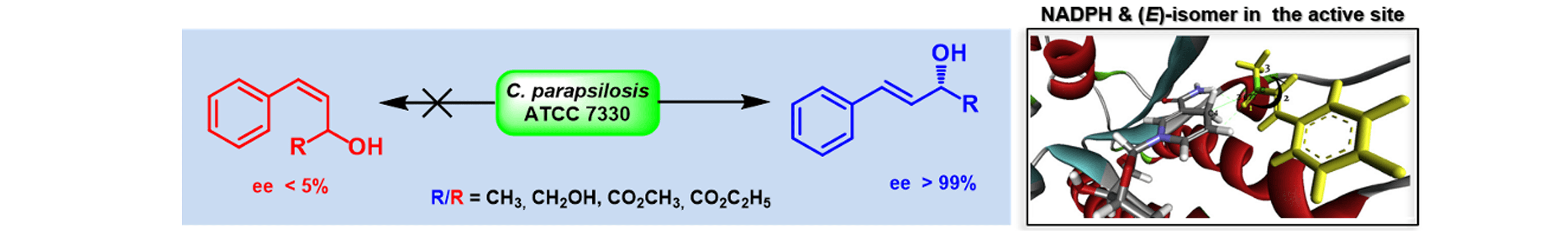
Stereochemical Preference in Candida parapsilosis ATCC 7330 mediated Deracemization: (E) vs. (Z)-Alkyl-2-hydroxy-4-arylbut-3-enoate
Thangavelu Saravanan ,Selvakumar Rajendran, Mukesh Doble, and Anju Chadha*
Tetrahedron: Asymmetry, 2012, 23, 1360 – 1368.View DOI

Chemoselective Reduction and Transesterification of α-Keto Propargylic Esters mediated by NaBH4/CeCl3.7H2O.
Thangavelu Saravanan , and Anju Chadha*
Syn. Comm., 2011, 41, 2350 – 2358.View DOI

Biocatalytic Deracemization of Alkyl-2-hydroxy-4-arylbut-3-ynoates using Whole cells of Candida parapsilosis ATCC 7330
Thangavelu Saravanan , and Anju Chadha*
Tetrahedron: Asymmetry, 2010, 21, 2973 – 2980.View DOI


Saravanan
Research Group
Advancing impactful research in green chemistry, high-throughput screening, and scalable enzymatic applications.
Address
School of Chemistry, University of Hyderabad,
Gachibowli, Hyderabad - 500046,
Telangana, India.
Contact
+91 - 40 - 23134815
tsaravanan@uohyd.ac.in
Follow